Use Early Stopping to Halt the Training of Neural Networks At the Right Time - MachineLearningMastery.com
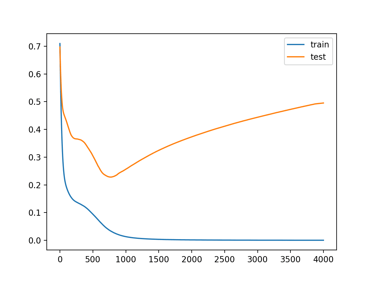
A problem with training neural networks is in the choice of the number of training epochs to use. Too many epochs can lead to overfitting of the training dataset, whereas too few may result in an u...

Source: MachineLearningMastery.com
A problem with training neural networks is in the choice of the number of training epochs to use. Too many epochs can lead to overfitting of the training dataset, whereas too few may result in an underfit model. Early stopping is a method that allows you to specify an arbitrary large number of training epochs […]